YW Non-blocking self-priming sewage pump
Date:2021-11-30 Click:574 Share to:

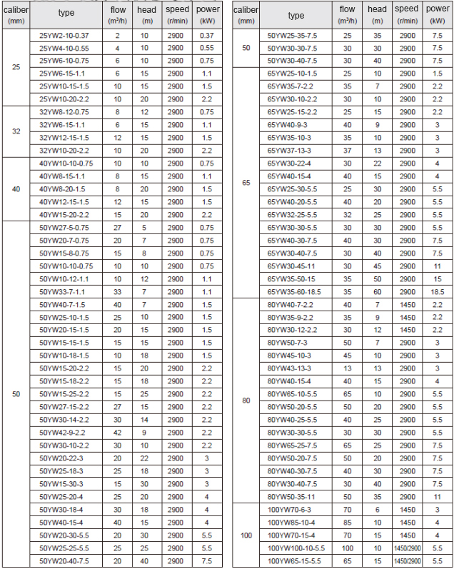
The YW submerged sewage pump adopts a large flow passage anti-clogging hydraulic component design to improve the sewage capacity. The pump body is immersed in the liquid medium to start, there is no exhaustion problem, and it has the characteristics of no leakage, and the depth of the liquid can reach 0.5-5 meters. YW submerged sewage pump has single pipe installation and double pipe installation.












*FAQ
Q: Why choose Bochi?A: 1. Excellent service before purchasing
Bochi know what the best cost-effective spare parts are. According to clients circumstances, we will recommend most suitable parts for them.
2. Guaranteed quality
Most products which Bochi are sold all over the worlds with high quality and also provide warranty to security benefits.
3. Rich experience and resources of various manufactures
Bochi has enormous resources of various manufacturers and distributors. Not only we are able to supply large quantity order, but also we can organize small quantity complex order as well.
For more information, please contact us!

ChatOnline




